India Publish GDS Recruitment 2026: अगर आप भी 10वीं पास हैं और अपने नजदीकी पोस्ट ऑफिस में सरकारी नौकरी लेना चाहते हैं, तो आपके लिए अच्छी खबर आ गई है। आपको बता दें कि India Publish जल्द ही Gramin Dak Sevak (GDS), Department Postmaster (BPM) और Assistant Department Postmaster (ABPM) के पदों के लिए भर्ती की नोटिफिकेशन जारी करने वाला है। इस भर्ती में करीब 28,740 रिक्तियां को भरा जाने वाला है। ये भर्ती पूरे देश के विभिन्न पोस्टल सर्कल के लिए निकली जाने वाली है।
आपकी जानकारी के लिए बता दें कि इस भर्ती के लिए कुछ टेंटेटिव नोटिस की डिटेल्स बाहर है जिनके अनुसार फुल नोटिफिकेशन जल्द ही जारी की जाएगी। और लेकिन उम्मीद है कि 31 जनवरी 2026 से पहले नोटिफिकेशन जारी हो जाएगी और 31 जनवरी 2026 से आवेदन भी ऑनलाइन माद्यम से शुरू होंगे। जो भी इच्छुक और योग्य उम्मीदवार इन पदों के लिए आवेदन करना चाहते हैं वे 14 फरवरी 2026 तक Indian Publish GDS On-line Engagement की वेबसाइट indiapostgdsonline.gov.in पर जाकर आवेदन कर पाएंगे।
इस लेख में हम आपको India Publish GDS Recruitment 2026 की सारी संभावित जानकारी देंगे और जैसे ही इस भर्ती की पूरी नोटिफिकेशन जारी होगी, इस जानकारी को अपडेट कर दिया जाएगा। India Publish GDS Recruitment 2026 की जानकारी के लिए इस लेख क पूरा अंत तक जरूर पढ़ें।

India Publish GDS Recruitment 2026: Overview
Particulars |
Particulars |
|---|---|
Group |
India Publish (Division of Posts) |
Publish Identify |
|
Whole Posts |
Approx. 28,740 (Tentative) |
Software Begin Date |
Anticipated 31 January 2026 |
Final Date to Apply |
Anticipated 14 February 2026 |
Choice Course of |
Advantage Primarily based (tenth Marks), Doc Verification |
Software Mode |
On-line |
Official Web site |
indiapostgdsonline.gov.in |
How Can Apply |
All India (State/Circle Choice) |
India Publish GDS Recruitment 2026: Particulars
अगर आप भी India Publish GDS Recruitment 2026 के पदों के लिए आवेदन करना चाहते हैं और इस भर्ती की पूरी जानकारी लेना चाहते हैं, तो आपका हमारे इस लेख में स्वागत है। आपको बता दें कि India Publish GDS Recruitment 2026 के लिए अभी तक नोटिफिकेशन जारी नहीं हुई है, लेकिन टेंटेटिव नोटिस और प्रेस रिलीज के अनुसार यह भर्ती इसी महीने में शुरू हो सकती है, जिसके लिए लगभग 28,740 पदों को भरा जाएगा, जो विभिन्न पोस्टल सर्कल में बंटी जाएगी।
यह पद ग्रामीण इलाकों या उनके Major पोस्ट ऑफिस के लिए भरें जाने वाले हैं। उम्मीदवारों को अपनी ही राज्य या सर्कल से इन पदों के लिए आवेदन करना होगा। फुल नोटिफिकेशन आने पर सभी डिटेल्स जैसे वैकेंसी ब्रेकडाउन, फीस और एग्जाम पैटर्न अपडेट कर दिए जाएंगे। अभी तक टेंटेटिव शेड्यूल आ चुका है। जिसकी जानकारी आपको आगे लेख में मिल जाएगी।

Additionally Learn…
- CSIR CLRI Recruitment 2026 (Cancelled): Apply On-line for 13 Junior Stenographer, JSA & MTS Posts – Eligibility, Wage, Choice Course of & Final Date
- RRB Group D Recruitment 2026 Date Revised: Apply On-line for Approx. 22,000 Degree-1 Posts – Eligibility, Wage & Choice Course of
- Indian Navy SSC Officers Recruitment 2026: Apply On-line for 260 Government, Technical & Schooling Department Posts – Eligibility, Choice Course of
- Bihar BTSC JE Recruitment 2025 (Final Date Prolonged): Apply On-line for Junior Engineer (Civil, Mechanical, Electrical) Posts – Examine 2809 Vacancies, Eligibility & Course of
- Yantra India Apprentices Recruitment 2026: Discover Out for 3979 Commerce Apprentice Posts – tenth & ITI Move, Eligibility, Choice Course of & Notification
Essential Dates of India Publish GDS Recruitment 2026 (Tentative)
Occasions |
Dates |
|---|---|
Notification Launch Date |
Anticipated 31 January 2026 |
On-line Apply Begin Date |
Anticipated 31 January 2026 |
On-line Apply Final Date |
Anticipated 14 February 2026 |
Charge Cost Final Date |
Anticipated 16 February 2026 (as much as 1700 Hrs) |
Software Correction Date |
Anticipated 18-19 February 2026 (as much as 1700 Hrs) |
First Advantage Listing Launch |
Anticipated 28 February 2026 |
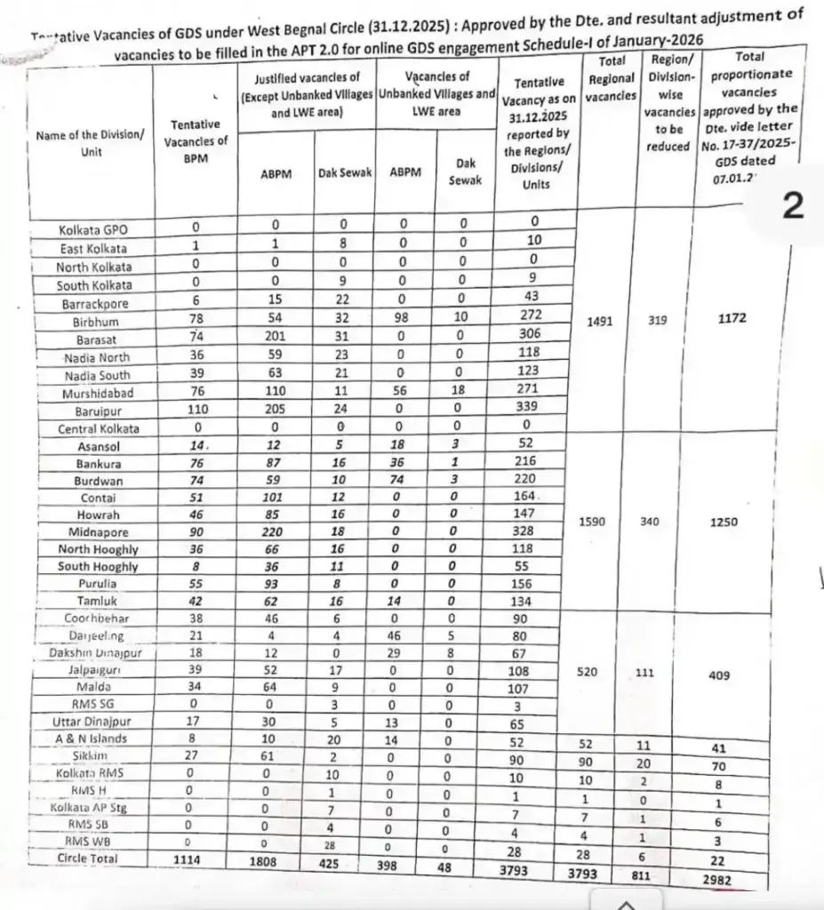
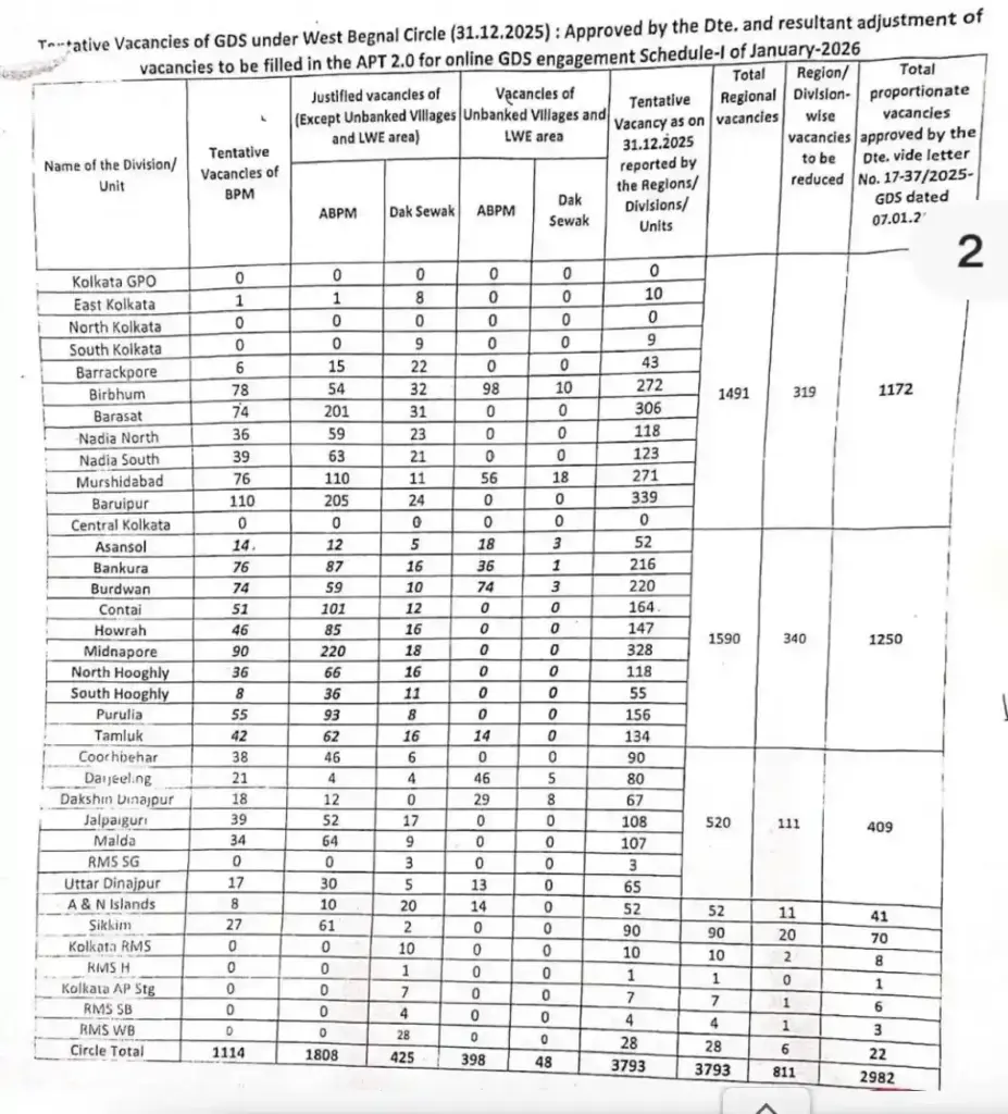
India Publish GDS Emptiness Particulars 2026 (Tentative Circle-Sensible)
फुल नोटिफिकेशन आने पर वैकेंसी की सटीक संख्या और कैटेगरी वाइज ब्रेकडाउन आएगा। अभी टेंटेटिव वैकेंसी सर्कल वाइज नीचे दी गई है:
Identify of Circle |
Anticipated Vacancies |
|---|---|
Andhra Pradesh |
1060 |
Assam |
639 |
Bihar |
1347 |
Chhattisgarh |
1155 |
Delhi |
42 |
Gujarat |
1830 |
Haryana |
270 |
Himachal Pradesh |
520 |
Jammu and Kashmir |
267 |
Jharkhand |
908 |
Karnataka |
1023 |
Kerala |
1691 |
Madhya Pradesh |
2120 |
Maharashtra |
3553 |
North East |
1014 |
Odisha |
1191 |
Punjab |
262 |
Rajasthan |
634 |
Tamil Nadu |
2009 |
Telangana |
609 |
Uttar Pradesh |
3169 |
Uttarakhand |
445 |
West Bengal |
2982 |
Whole |
28,740 |
India Publish GDS Software Charge (Anticipated)
Class |
Software Charge |
|---|---|
Basic / OBC / EWS |
₹100/- |
SC / ST / PwD / Feminine / Transwomen |
Nil (Exempted) |
India Publish GDS Recruitment 2026 Eligibility Standards (Anticipated)
फुल नोटिफिकेशन आने पर अपडेट होगी, लेकिन पिछले पैटर्न के अनुसार:
Instructional {Qualifications}
Publish Identify |
Instructional Qualification |
|---|---|
GDS / BPM / ABPM |
tenth Move from acknowledged board with Maths and English as topics + Primary Pc Data + Native Language Proficiency |
Age Restrict
Age Group |
Decrease Age Restrict |
Higher Age Restrict |
|---|---|---|
Basic |
18 Years |
40 Years |
Age Leisure (Anticipated)
Class |
Age Leisure |
|---|---|
SC / ST |
5 Years |
OBC |
3 Years |
PwD |
10 Years |
PwD + OBC |
13 Years |
PwD + SC/ST |
15 Years |
India Publish GDS Choice Course of 2026 (Anticipated)
चयन पूरी तरह मेरिट बेस्ड होगा, कोई लिखित परीक्षा या इंटरव्यू नहीं।
- Advantage Listing: 10वीं के अंकों के आधार पर (चार दशमलव तक कैलकुलेशन)।
- Doc Verification: शॉर्टलिस्ट उम्मीदवारों के ओरिजिनल डॉक्यूमेंट्स चेक होंगे।
नोट: लोकल लैंग्वेज और बाइसिकल चलाने की क्षमता जरूरी।
Paperwork Required for India Publish GDS 2026 (Anticipated)
- 10वीं मार्कशीट और पास सर्टिफिकेट
- लोकल लैंग्वेज प्रूफ (10वीं में पढ़ा हो)
- आधार कार्ड
- पासपोर्ट साइज फोटो (JPG, <50 KB)
- सिग्नेचर (JPG, <20 KB)
- कैटेगरी सर्टिफिकेट (SC/ST/OBC/EWS/PwD अगर लागू)
- मोबाइल और ईमेल
Apply On-line for India Publish GDS 2026? (Anticipated)
जब आवेदन शुरू होंगे, तो ऑनलाइन ही अप्लाई करना होगा। स्टेप्स फॉलो करें:
- सबसे पहले indiapostgdsonline.gov.in पर जाएं।

- Residence web page of India Publish GDS web site for India Publish GDS Recruitment 2026
- होमपेज पर ‘New Registration’ पर क्लिक करें।
- नाम, मोबाइल, ईमेल और 10वीं की डिटेल्स भरें। OTP से वेरीफाई करें।
- रजिस्ट्रेशन के बाद लॉगिन करें और फॉर्म भरें।
- जरूरी दस्तावेज अपलोड करें (फोटो, सिग्नेचर, 10वीं मार्कशीट)।
- फीस जमा करें (अगर लागू हो)।
- फॉर्म चेक करके सबमिट करें। प्रिंटआउट लें।
क्विक लिंक्स
Direct Apply |
Click on Right here Apply Begin Quickly |
Official Web site |
Click on Right here |
Full Notification |
Obtain Now Notification Out Quickly |
Biharhelp Official Web site Hyperlink |
Go to Now |
Be part of Our Telegram Channel |
Be part of Now |
FAQs – India Publish GDS Recruitment 2026
India Publish GDS Recruitment 2026 में कुल कितने पद हैं?
कुल लगभग 28,740 पद हैं (टेंटेटिव), जो विभिन्न पोस्टल सर्कल में BPM, ABPM और GDS के लिए हैं। फुल नोटिफिकेशन आने पर सर्कल वाइज और कैटेगरी वाइज ब्रेकडाउन मिलेगा।
India Publish GDS Recruitment 2026 के लिए आवेदन कब शुरू होंगे?
आवेदन की उम्मीद 31 जनवरी 2026 से है और 14 फरवरी 2026 तक चल सकते हैं। फुल नोटिफिकेशन आने पर सटीक डेट्स अपडेट हो जाएंगी। indiapostgdsonline.gov.in पर चेक करते रहें।
India Publish GDS में चयन कैसे होगा?
चयन पूरी तरह 10वीं के अंकों पर मेरिट बेस्ड होगा। कोई लिखित परीक्षा या इंटरव्यू नहीं। मेरिट लिस्ट बनेगी, फिर डॉक्यूमेंट वेरिफिकेशन होगा। लोकल लैंग्वेज जरूरी है।
India Publish GDS के लिए योग्यता क्या है?
10वीं पास होना चाहिए, मैथ्स और इंग्लिश सब्जेक्ट के साथ। लोकल लैंग्वेज 10वीं तक पढ़ी हो। उम्र 18-40 साल। बेसिक कंप्यूटर नॉलेज और बाइसिकल चलाना जरूरी।
India Publish GDS में फीस कितनी है?
जनरल/OBC/EWS के लिए ₹100/- और SC/ST/PwD/महिला/ट्रांसवुमन के लिए कोई फीस नहीं। फुल नोटिफिकेशन में पुष्टि होगी। ऑनलाइन पेमेंट होगा।
{
“@context”: “https://schema.org”,
“@sort”: “FAQPage”,
“mainEntity”: [
{
“@type”: “Question”,
“name”: “India Post GDS Recruitment 2026 में कुल कितने पद हैं?”,
“acceptedAnswer”: {
“@type”: “Answer”,
“text”: “कुल लगभग 28,740 पद हैं (टेंटेटिव), जो विभिन्न पोस्टल सर्कल में BPM, ABPM और GDS के लिए हैं। फुल नोटिफिकेशन आने पर सर्कल वाइज और कैटेगरी वाइज ब्रेकडाउन मिलेगा।”
}
}
, {
“@type”: “Question”,
“name”: “India Post GDS Recruitment 2026 के लिए आवेदन कब शुरू होंगे?”,
“acceptedAnswer”: {
“@type”: “Answer”,
“text”: “आवेदन की उम्मीद 31 जनवरी 2026 से है और 14 फरवरी 2026 तक चल सकते हैं। फुल नोटिफिकेशन आने पर सटीक डेट्स अपडेट हो जाएंगी। indiapostgdsonline.gov.in पर चेक करते रहें।”
}
}
, {
“@type”: “Question”,
“name”: “India Post GDS में चयन कैसे होगा?”,
“acceptedAnswer”: {
“@type”: “Answer”,
“text”: “चयन पूरी तरह 10वीं के अंकों पर मेरिट बेस्ड होगा। कोई लिखित परीक्षा या इंटरव्यू नहीं। मेरिट लिस्ट बनेगी, फिर डॉक्यूमेंट वेरिफिकेशन होगा। लोकल लैंग्वेज जरूरी है।”
}
}
, {
“@type”: “Question”,
“name”: “India Post GDS के लिए योग्यता क्या है?”,
“acceptedAnswer”: {
“@type”: “Answer”,
“text”: “10वीं पास होना चाहिए, मैथ्स और इंग्लिश सब्जेक्ट के साथ। लोकल लैंग्वेज 10वीं तक पढ़ी हो। उम्र 18-40 साल। बेसिक कंप्यूटर नॉलेज और बाइसिकल चलाना जरूरी।”
}
}
, {
“@type”: “Question”,
“name”: “India Post GDS में फीस कितनी है?”,
“acceptedAnswer”: {
“@type”: “Answer”,
“text”: “जनरल/OBC/EWS के लिए ₹100/- और SC/ST/PwD/महिला/ट्रांसवुमन के लिए कोई फीस नहीं। फुल नोटिफिकेशन में पुष्टि होगी। ऑनलाइन पेमेंट होगा।”
}
}
]
}





