Bihar Civil Court docket Clerk Prelims Consequence 2025: क्या आपने भी बीते 22 दिसम्बर, 2024 के दिन बिहार सिविल कोर्ट ग्रुप – सी भर्ती, 2024 के तहत Clerk/ क्लर्क के रिक्त कुल 3,325 पदो पर सरकारी नौकरी पाने हेतु भर्ती परीक्षा, 2024 दिए है और अपने- अपने प्रीलिम्स रिजल्ट के जारी होने का बेसब्री से इंतजार कर रहे है तो आपके लिए बहुत बड़ी खुशखबरी है कि, बिहार सिविल कोर्ट द्धारा Bihar Civil Court docket Clerk Prelims Consequence 2025 को 10 अप्रैल, 2025 के दिन जारी कर दिया गया है जिसकी हम, आपको लाईव रिपोर्ट प्रदान कर रहे है।
साथ ही साथ हम आपको बता देना चाहते है कि, आप सभी परीक्षार्थियों को अपने – अपने Bihar Civil Court docket Clerk Prelims Consequence 2025 को चेक व डाउनलोड करने के लिए अपना रोल नंबर साथ में, रखना होगा ताकि आप आसानी से रिजल्ट पीडीएफ मे अपने – अपने रिजल्ट को चेक कर सके तथा
आर्टिकल के अन्तिम चरण मे हम, आपको क्विक लिंक्स प्रदान करेगें ताकि आप इसी प्रकार के आर्टिकल्स को प्राप्त करके इनका लाभ प्राप्त कर सकें।

Bihar Civil Court docket Clerk Prelims Consequence 2025 – Overview
Title of the Court docket |
Bihar Civil Court docket, Patna |
Title of the Article |
Bihar Civil Court docket Clerk Prelims Consequence 2025 |
Sort of Article |
Consequence |
Title of the Publish |
Clerk |
No of Vacancies |
3,325 Vacancies |
Stay Standing of Bihar Civil Court docket Clerk Consequence 2025 |
Launched Now |
Bihar Civil Court docket Clerk Consequence 2025 Launch On? |
tenth April, 2025 |
Mode of Consequence |
On-line |
Examination Held On? |
twenty second December, 2024 |
Detailed Info of Bihar Civil Court docket Clerk Consequence 2025? |
Please Learn The Article Fully. |
बिहार सिविल कोर्ट क्लर्क प्रीलिम्स का रिजल्ट हुआ जारी, जाने किस कैटेगरी मे कितना गया कट ऑफ और कैसे करें रिजल्ट पीडीएफ डाउनलोड – Bihar Civil Court docket Clerk Prelims Consequence 2025?
अपने इस लेख मे, हम उन सभी उम्मीदवारों व अभ्यर्थियोें का हार्दिक स्वागत करना चाहते है जो कि, बिहार सिविल कोर्ट ग्रुप सी भर्ती 2024 के तहत भर्ती परीक्षा दिए है और अपने – अपने प्रीलिम्स रिजल्ट के जारी होने का बेसब्री के साथ इंतजार कर रहे है उन्हें हम, इस आर्टिकल की मदद से विस्तारपूर्वक Bihar Civil Court docket Clerk Pre Consequence 2025 के बारे मे बतायेगें जिसके लिए आपको धैर्यपूर्वक इस आर्टिकल को पढ़ना होगा ताकि आप पूरी – पूरी जानकारी प्राप्त कर सकें।
दूसरी तरफ हम, आपको बताना चाहते है कि, आप सभी अभ्यर्थियों को अपना – अपना Bihar Civil Court docket Clerk Prelims Consequence 2025 चेक व डाउनलोड करने हेतु ऑनलाइन प्रक्रिया को अपनाना होगा जिसमे आपको कहीं पर कोई समस्या ना हो इसके लिए हम, आपको पूरी – पूरी प्रक्रिया के बारे मे बतायेगें ताकि आप आसानी बिहार सिविल कोर्ट क्लर्क प्रीलिम्स रिजल्ट 2025 को चेक कर सकें और इसका लाभ प्राप्त कर सके तथा
आर्टिकल के अन्तिम चरण मे हम, आपको क्विक लिंक्स प्रदान करेगें ताकि आप इसी प्रकार के आर्टिकल्स को प्राप्त करके इनका लाभ प्राप्त कर सकें।
Learn Additionally – Bihar Civil Court docket Clerk Consequence 2025 Out Now – Obtain Hyperlink, Reduce Off, Certified Candidates Record
महत्वपूर्ण तिथियां – बिहार सिविल कोर्ट क्लर्क प्रीलिम्स रिजल्ट 2025?
कार्यक्रम |
तिथियां |
भर्ती विज्ञापन जारी किया गया |
16 सितम्बर, 2024 |
आवेदन प्रक्रिया को शुरु किया गया |
20 सितम्बर, 2024 |
आवेदन करने की अन्तिम तिथि |
20 अक्टूबर, 2025 |
परीक्षा का आयोजन किया गया |
22 दिसम्बर, 2024 |
प्रवेश पत्र / एडमिट कार्ड जारी किया गया |
13 दिसम्बर, 2024 |
आंसर की जारी किया गया |
24 दिसम्बर, 2024 |
Bihar Civil Court docket Clerk Prelims Consequence 2025 |
10 अप्रैल, 2025 के दिन रिजल्ट को जारी कर दिया गया है। |
Class Clever No of Certified Candidates?
वर्ग |
परीक्षा उत्तीर्ण करने वाले उम्मीदवारोें की संख्या |
सामान्य वर्ग (UR) |
17,043 |
आर्थिक रुप से कमजोर वर्ग (EWS) |
4,176 |
पिछड़ा वर्ग (BC) |
4,968 |
अत्यन्त पिछड़ा वर्ग (EBC) |
8,269 |
अनुसूचित जाति (SC) |
6,495 |
अनुसूचित जनजाति (ST) |
391 |
पिछड़े वर्ग की महिलायें (WBCs) |
1,055 |
कुल |
42,397 अभ्यर्थियोें ने परीक्षा पास की है। |
जाने किस श्रेणी मे कितना गया कट ऑफ – Bihar Civil Court docket Clerk Reduce off 2025?
श्रेणी/ वर्ग |
Reduce Off Marks (Highest) |
Unreserved (UR) / सामान्य वर्ग |
70 (Male) |
UR – Feminine |
61 |
UR – PH |
56 |
UR – Ward of Freedom Fighters |
59 |
Economically Weaker Part (EWS) / आर्थिक रुप से कमजोर वर्ग |
65 (Male) |
EWS – Feminine |
50 |
EWS – PH |
42 |
EWS – Ward of Freedom Fighters |
44 |
Backward Caste (BC) / पिछड़ा वर्ग |
67 (Male) |
BC – Feminine |
54 |
BC – PH |
49 |
BC – Ward of Freedom Fighters |
44 |
Extraordinarily Backward Caste (EBC) / अत्यन्त पिछड़ा वर्ग |
63 (Male) |
EBC – Feminine |
48 |
EBC – PH |
46 |
EBC – Ward of Freedom Fighters |
37 |
Scheduled Caste (SC) / अनुसूचित जाति |
57 (Male) |
SC – Feminine |
39 |
SC – PH |
38 |
SC – Ward of Freedom Fighters |
36 |
Scheduled Tribe (ST) / अनुसूचित जनजाति |
57 (Male) |
ST – Feminine |
46 |
ST – PH |
36 |
ST – Ward of Freedom Fighters |
36 |
Girls of Backward Castes (WBCs) / पिछड़े वर्ग की महिलायें |
50 |
WBCs – PH |
38 |
WBCs – Ward of Freedom Fighters |
38 |
Tips on how to Verify & Obtain Bihar Civil Court docket Clerk Prelims Consequence 2025?
सभी अभ्यर्थी जो कि, बिहार सिविल कोर्ट क्लर्क प्रीलिम्स रिजल्ट 2025 को चेक व डाउनलोड करना चाहते है तो आपको कुछ स्टेप्स को फॉलो करना होगा जो कि, इस प्रकार से हैं –
- Bihar Civil Court docket Clerk Prelims Consequence 2025 को चेक व डाउनलोड करने के लिए आप सभी परीक्षार्थियों को सबसे पहले इसकी आधिकारीक वेबसाइट के होम – पेज पर आना होगा जो कि, इस प्रकार का होगा –

- होम – पेज पर आने के बाद आपको Latest Bulletins का सेक्शन मिलेगा जिसमे आपको Bihar Civil Court docket Clerk Prelims Consequence 2025 ( रिजल्ट का लिंक सक्रिय कर दिया गया है ) का विकल्प मिलेगा जिस पर आपको क्लिक करना होगा,
- क्लिक करने के बाद आपके सामने इसका Consequence PDF खुल जाएगा जो कि, इस प्रकार का होगा –

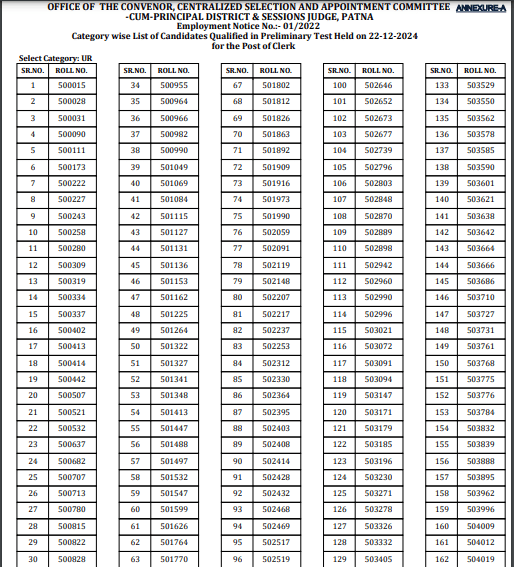
- अब यहां पर आपको रिजल्ट पीडीएफ के पेज नंबर – 03 पर आना होेगा जहां पर आपको रिजल्ट मिलेगा जो कि, इस प्रकार का होगा –

- अन्त में, इस प्रकार आप सभी परीक्षार्थी आसानी से अपने – अपने बिहार सिविल कोर्ट प्रीलिम्स रिजल्ट 2025 को चेक व डाउनलोड कर सकते है और इसका लाभ प्राप्त कर सकते है।
उपरोक्त सभी स्टेप्स को फॉलो करने के बाद आप सभी योग्य परीक्षार्थी अपने – अपने रिजल्ट को चेक व डाउनलोड कर पायेगे और इसका लाभ प्राप्त कर पायेगे।
सारांश
सभी अभ्यर्थियों को हमने इस आर्टिकल मे विस्तार से ना केवल Bihar Civil Court docket Clerk Prelims Consequence 2025 के बारे मे बताया बल्कि हमने आपको विस्तार से बिहार सिविल कोर्ट क्लर्क प्रीलिम्स रिजल्ट 2025 को चेक व डाउनलोड करने की पूरी – पूरी जानकारी प्रदान की ताकि आप आसानी से अपने – अपने रिजल्ट को चेक कर सकें औऱ इसका लाभ प्राप्त कर सकें तथा
अन्त, हमें पूरी आशा है कि, आप सभी परीक्षार्थियों को हमारा यह आर्टिकल बेहद पसंद आया होगा जिसके लिए आप हमारे इस आर्टिकल को लाइक, शेयर व कमेंट करेगे।
क्विक लिंक्स
| Go to Official Web site | Be part of Our Telegram Channel |
| Direct Hyperlink To Obtain Bihar Civil Court docket Clerk Prelims Consequence 2025 | |
FAQ’s – Bihar Civil Court docket Clerk PT Consequence 2025
Bihar Civil Court docket Clerk Prelims Consequence 2025 को कब जारी किया गया है?
बिहार सिविल कोर्ट क्लर्क प्रीलिम्स रिजल्ट 2025 को 10 अप्रैल, 2025 के दिन जारी कर दिया गया है।
Bihar Civil Court docket Clerk Prelims Consequence 2025: कैसे करें रिजल्ट चेक और डाउनलोड?
बिहार सिविल कोर्ट क्लर्क प्रीलिम्स रिजल्ट 2025 को चेक व डाउनलोड करने की पूरी प्रक्रिया जानने हेतु आपको धैर्यपूर्वक इस आर्टिकल को पढ़ना होगा।
{
“@context”: “https://schema.org”,
“@kind”: “FAQPage”,
“mainEntity”: [
{
“@type”: “Question”,
“name”: “Bihar Civil Court Clerk Prelims Result 2025 को कब जारी किया गया है?”,
“acceptedAnswer”: {
“@type”: “Answer”,
“text”: “बिहार सिविल कोर्ट क्लर्क प्रीलिम्स रिजल्ट 2025 को 10 अप्रैल, 2025 के दिन जारी कर दिया गया है।”
}
}
, {
“@type”: “Question”,
“name”: “Bihar Civil Court Clerk Prelims Result 2025: कैसे करें रिजल्ट चेक और डाउनलोड?”,
“acceptedAnswer”: {
“@type”: “Answer”,
“text”: “बिहार सिविल कोर्ट क्लर्क प्रीलिम्स रिजल्ट 2025 को चेक व डाउनलोड करने की पूरी प्रक्रिया जानने हेतु आपको धैर्यपूर्वक इस आर्टिकल को पढ़ना होगा।”
}
}
]
}




